在我国物产丰富风场资源优势,风力开发潜力极大,但伴随着风力資源不停的完善与开发设计,风场的部位已经慢慢奔向风力更加丰富多彩的北方地区和沿海地区,因为以上地区很有可能具备风雪及湿冷的自然环境,当离心风机叶轮在低溫标准下运作,如溫度小于零摄氏度,特别是在碰到风雪、降水、过制冷水珠时便会使离心风机叶面造成结冰状况。轻则危害叶面的气动式性对离心风机造成风力的实际效果产生严重影响,重则叶面覆冰后对电机组、当场飞机驾驶员等都存有很大的安全风险。
因此大家对于以上的状况针对离心风机叶面防覆冰关键选用积极和处于被动防冰2种方法,积极融冰多见电加热融冰并不是此次探讨的关键点;关键详细介绍下更加省时省力的防覆冰建筑涂料计划方案,理想化状况下,防冰原材料应该是牢固、经久耐用、易实际操作、高效率的,在各种各样结冻标准下都可以好的工作,降低风力发电运维管理成本费。文中根据剖析较为中国应用较早的亲水性建筑涂料与后者更加经久耐用的防冰建筑涂料的差别及优缺点分析。
疏水性是依据液态在叶面表层的侵润性,侵润水平以表面张力0表明,表面张力小反倒水珠与表层触碰总面积扩大,则不亲水性,相反表面张力越大,表明水珠与表层触碰范围小,则亲水性,通常水的表面张力超过90度时,则觉得镀层具备一定的亲水性工作能力。
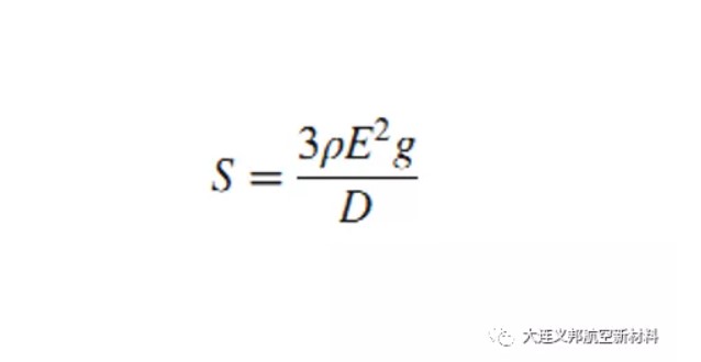
防冰建筑涂料从理论上讲,疏冰表层可以降低冰在板材上的黏附力,避免冰表面层累积。防冰建筑涂料2003年由国际性防结冻原材料试验室(AMIL)首先明确提出黏附力降低因素(ARF),现阶段(CAT)离心式冰黏附实验广泛遭受全世界防冰原材料组织的认同,因此CAT变成了一种比较认同的精确测量防冰建筑涂料点评实验与黏附力)减少指数检测,根据测算ARF可以得到更靠谱精确的冰黏附值数据信息。
ARF>1,具备疏冰性,减少冰黏附性,值越高,疏冰性越强
疏水性原材料一般自来水表面张力来界定疏水性的实际效果,而超疏水建筑涂料是一种具备独特表层特性的新型装饰材料,就是指固态涂层的水表面张力超过150°而且喻指水表面张力落后低于5°,具备防潮、防雾镜、抗雪、污染治理、耐腐蚀等关键特性。
近些年,大家对菏叶超疏水特性的深入分析,发觉菏叶表层的μm乳突上还遍布着纳米技术支系构造,这种双外部经济构造促使菏叶表层有了很高的表面张力,限定了出液在其外表的溶合,其看热闹构造表层是不光滑的,促使出液呈球形且可以较小的倾斜度滚下来。称其“荷叶效应”是一种简易的制取超疏水镀层的方式,可是该类超疏水商品并无非常大的实际意义。而销售市场上流动的说白了有“荷叶效应”的建筑涂料并不具备超疏水特性,仅有一定的亲水性特点,且表面张力都是在120°下列,而且因为加上了一些蜡、含氟量添加物等,针对离心风机所在的自然环境,在户外恶劣的环境下具体使用期限仅为1-2年上下。

防冰建筑涂料表层是特别平滑的,能降低冰在表层板材的黏附力,且伴随着冰厚的提升,可以做到自主掉下来的实际效果。根据函数公式看得出,黏附力与冰的密度正相关,与冰的总宽反比,得到的趋势图是自主掉下来是ARF与冰薄厚关系。可以推理出具备较高的ARF镀层在较低的薄厚下可以自主掉下来,比如:ARF值为100,这时冰的黏附力减少99%,冰提升薄厚不容易超出83mm,由于做到这一薄厚是,冰会自主掉下来。
亲水性建筑涂料因外部经济构造空隙中会造成冷疑而缺失一定的疏水性,随时随地時间的变化防冰实际效果慢慢变弱,这也是为什么亲水性建筑涂料可持续性工作中的時间较短,因而大家早已逐渐关键科学研究ARF防冰建筑涂料,更加光洁的表层,牢固且经久耐用有益于加快覆冰掉下来的時间甚至降低冰在板材表层的沉积和提高,这类好的工作特性特别适合风力发电小区业主及离心风机运维管理企业,降低总体的维护保养成本费,提升离心风机利用率完成少关机和无关机,现阶段在欧美国家已被大区域的认同及应用。
 
         该文章内容致力于散播新技术应用新闻资讯,很有可能有转截/引入之状况,若有侵权行为请联络删掉。
	
相关文章