前言
电子器件机器设备通常用外壳来屏蔽掉外部磁场的影响,外壳外界通常会开孔来给予自然通风性、由此可见性,而如此的打孔会使外界的磁场通过孔缝藕合到机器设备外壳內部,进而在外壳內部的设施或印刷线路板上磁感应出电流量和工作电压,减少机器设备或元器件的特性,比较严重的时候会对內部机器设备产生毁坏。因而,科学研究有时间屏蔽掉腔对干扰信号的磁屏蔽效率有至关重要的现实意义和使用价值。从之前的科学研究看,提升屏蔽掉效率的办法有很多,如同样总面积下,孔阵的屏蔽掉效率好于双孔的屏蔽掉效率,两层孔的屏蔽掉效率好于单面的屏蔽掉效率,也分析了许多要素对屏蔽掉效率的危害,如孔的尺寸,样子,孔间隔,无线电波电极极化方位等。文中关键推论出两层载入线路板屏蔽掉腔屏蔽掉效率公式计算,并应用CST模拟仿真认证,科学研究线路板尺寸、部位、总数等原因对后腔定位点屏蔽掉效率的危害。
1 基础理论
平面波竖直直射两层有方形孔载入线路板的屏蔽掉腔的模板如下图1所显示。一般状况下,由孔缝藕合进到屏蔽掉腔的动能要比透过腔体壁进到屏蔽掉腔的动能要多,因而只考虑到藕合动能。
	
文中选用原材料为铜的两层屏蔽掉腔实体模型,分前腔和后腔两一部分。a ,b 是屏蔽掉腔的宽和高,前腔长短为d1 ,后腔长短为d2 ;w ,l 为箱体上打孔的长度宽;p 为后腔的核心观测点;q 为里层孔到PCB板的间距;PCB 板厚为t′ ;箱体薄厚为t .
依据M.P.Robinson明确提出的传输线理论,孔缝等效电路为两边短路故障的共面带条状同轴电缆,矩形框外壳等效电路为终端设备短路故障的光波导入的。该实体模型等效电路图如下图2所显示。
	
在图2中,V0 为等效电路放射性物质,Z0 为气体波阻抗,约为377 Ω ,Zos 为孔缝的特性阻抗,等效电路矩形波导的特性阻抗和传播常数为Zgmn 和Kgmn .
孔缝特性阻抗由Gupta 得出的公式计算[6]得到合理总宽:
	
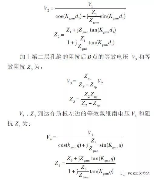
通过AB 中间的同轴电缆后,由戴维南定理可获得B 点的等效电路工作电压V2 和等效电路特性阻抗Z2 :
	
线路板是一个错综复杂的总体,它包含金属材料平板电脑、输电线、电子元器件和耗损物质等,在这里选用一块导电率为σ = 0.22 S – m-1 ,相对介电常数为εr = 2.65 的宏观经济物质板替代PCB[7-8],其特性阻抗和传播常数为Zg 和Kg .在其中当物质板尺寸与矩形框腔截面尺寸无穷大时,腔内磁场在物质板表层的反射面可以忽视,由传输线理论可获得物质板左端工作电压通过薄厚为t′ 的物质板传送到板右边的工作电压V5 和特性阻抗Z5 为[6,8]:
	
每一种方式的波在P 点的工作电压为:
	
2 模拟仿真結果剖析
为了更好地认证基础理论結果的准确性,用电场强度为1 V – m-1 的平面图无线电波直射薄厚为1 mm的矩形框屏蔽掉壳,箱体规格为300 mm × 120 mm × 600 mm ,在其中前腔长300 mm ,后腔长300 mm ,孔缝规格为80 mm ×20 mm ,物质板规格为300 mm × 120 mm × 1 mm ,安裝在间距第二层孔缝100 mm 处,模拟仿真工作频率为200 MHz~1 GHz .
物质板核心与打孔核心及其观测点在一条平行线上,当屏蔽掉腔内有物质板时,入射波藕合进到箱体,碰到物质板,产生介电损耗,无线电波动能关键分成三一部分:一部分通过物质板进一步散播,一部分反射面,也有一部分根据物质板与箱体的间隙产生绕射,物质板还会继续消化吸收动能。因为无线电波的电子散射和绕射,在物质板以后的室内空间还存有磁场。
图3 是选用等效电路同轴电缆法和CST 模拟仿真方式在后腔定位点屏蔽掉效率的比照,可以看到二种方式 的結果在低频率有一部分差别,但在300 MHz之后不错符合。且箱体在707 MHz发生串联谐振状况。
	
2.1 更改物质板尺寸对屏蔽掉效率的危害
图4 中里层孔到载入PCB 板的间距q=100 mm,选用三种不一样尺寸的物质板,各自为500 mm×10 mm,100 mm×40 mm 和200 mm×80 mm.可以看得出,在给出工作频率区域内,物质板越大,箱体屏蔽掉效率越高,这是由于物质板越大,其介电损耗越大,串联谐振点的磁场强度越小,屏蔽掉体的屏蔽掉效率越大。
	
2.2 物质板与第二层孔缝中间的间距对屏蔽掉效率的危害
物质板规格不会改变为300 mm×120 mm×1 mm.里层孔到载入PCB板的间距q 转变。在这儿q 各自取50 mm,100 mm 和290 mm,最终和沒有PCB 板的情形做比照。
	
由图5 得知,在给出工作频率区域内,物质板离第二层孔缝越来越远,屏蔽掉效率越低。当物质板离第二层孔缝50 mm的情况下,绝大多数藕合场产生反射面,藕合出箱体,因而第二层箱体核心磁场强度是最少的,屏蔽掉效率是更大的,伴随着间距的扩大,箱体核心磁场强度也慢慢扩大,当提升到290 mm的情况下,箱体核心磁场强度做到最高值,与无物质板时的磁场强度贴近,屏蔽掉效率也与无物质板时贴近。
2.3 物质板总数对屏蔽掉效率的危害
物质板尺寸均为300 mm×120 mm×1 mm,当仅有一块物质板的情况下,置放在距第二层孔缝100 mm 的地区,即图1 中q=100 mm 的地区;当有二块物质板的情况下,置放在间距第二层孔缝50 mm 和100 mm 的地区,即图1 中q=50 mm 和q=100 mm 的地区,当有三块物质板的情况下,置放在间距第二层孔缝50 mm,100 mm 和150 mm 的地区,即图1 中q=50 mm,q=100 mm 和q=150 mm的地区。模拟仿真結果如下图6所显示。
	
由图6 可以看得出,伴随着物质板总数的提升,箱体核心部位的屏蔽掉效率有所增加。
2.4 物质板不一样置放方法对屏蔽掉效率的危害
物质板尺寸不会改变,以下边三种不一样的方法置放:与第二层孔缝平行面,置放在间距地二层孔缝100 mm的部位;与侧边平行面,置放在垂直平分孔缝长边中间的部位;与路面平行面,置放在垂直平分孔缝长边中间的部位。三种置放方法甲图7所显示。
	
三种状况模拟仿真結果如下图8所显示。
	
由图8得知,物质板平行面与路面置放时屏蔽掉效率最烂,别的二种置放方法对屏蔽掉效率危害并不大。
3 载入集成化计算变大线路板对屏蔽掉效率的危害
具体的pcb电路板和等效电路的宏观经济物质板或是具有一定的差别,在这儿,将宏观经济物质板更换为集成化计算变大线路板,如下图9所显示。
	
比照物质板和线路板在屏蔽掉腔中对屏蔽掉效率的危害,设定物质板尺寸与线路板同样,均为75.59 mm×25.69 mm×0.711 2 mm,均将实体模型置放在屏蔽掉腔后腔核心距z 轴起点-99.288 8 mm 的部位,这里物质板为前边提及的导电率为σ = 0.22 S – m-1 相对介电常数为εr = 2.65 的宏观经济物质板,pcb电路板选用图9所显示的载入集成化计算运算放大器的线路板。应用CST,将线路板的PCB实体模型导到CST的微波加热个人工作室中,通过模拟仿真后,其結果如下图10所显示。
	
由图10 得知,在尺寸、薄厚、置放部位同样的情形下,宏观经济物质板和pcb电路板获得的屏蔽掉效率相距并不大,即用宏观经济物质板等效电路取代pcb电路板偏差较小。
载入pcb电路板后箱体屏蔽掉效率具体表现在线路板表层电场强度的变动和表层电流量的不一样,根据CST模拟仿真,获得以下結果。
3.1 线路板表层静电场
	
从由图11 和图12 得知,无屏蔽掉时较大磁场强度为11.070 7 V·m-1 ,有屏蔽掉时较大磁场强度为0.164 V·m-1 ,由此可见屏蔽掉腔对线路板具有了较好的屏蔽掉实际效果。而且间隔较近的输电线中间非常容易造成高磁场强度,要是没有屏蔽掉,可能造成线路板的常规工作中,比较严重时造成毁坏。
3.2 线路板表层电流量
	
在图13 中,无屏蔽时线路板表层电流量最高值为0.014 93 A·m-1 ,图14中,有屏蔽掉时线路板表层电流量最高值为2.091 8e – 005 A·m-1 ,显著比无屏蔽掉时减少很多,表明屏蔽掉腔对线路板具有了较好的屏蔽掉实际效果。
4 总结
文中用同轴电缆等效电路实体模型发布两层载入线路板矩形框箱体屏蔽掉效率的计算方法,根据模拟认证了公式计算的准确性,并下结论:在给出工作频率区域内,物质板越大,箱体屏蔽掉效率越高;物质板离第二层孔缝越近,屏蔽掉效率越高;物质板总数越多,屏蔽掉效率越高;物质板平行面与路面置放时屏蔽掉效率最烂,别的二种置放方法对屏蔽掉效率危害区别并不大。根据以上结果,在设计方案外壳时,可以利用对內部线路板的合理布局提升系统软件的屏蔽掉效率,与此同时,腔身体内电源电路的回应工作频率理应绕开箱体的串联谐振。在文中中,为了更好地更为切合具体运用,将等效电路物质板更换为载入集成化计算运算放大器的pcb电路板实体模型,根据CST模拟仿真,认证了宏观经济物质板等效电路替代pcb电路板的有效和同质性,而且认证了屏蔽掉箱体对內部线路板优良的屏蔽掉实际效果及其屏蔽掉箱体对线路板作用的危害。
该文章内容提高散播新技术应用新闻资讯,很有可能有转截/引入之状况,若有侵权行为请联络删掉。
上一篇: PCB板里的金、银、铜知识详解
下一篇: 电路板自动检测的两种常见方法介绍
 派旗纳米·官方网站
派旗纳米·官方网站
