文中将根据具体事例详细介绍随意视角走线的优点、灵便走线的优点及其一种用以结构Steiner树的新优化算法。
PCB走线方式在不断发展,灵便的走线技术性可以减少输电线长短,释放出来大量的PCB室内空间。传统式PCB走线遭受输电线座标固定不动和缺乏随意视角输电线的限定。除去这种限定可以明显改进走线的品质。
环境
大家首要来详细介绍一些专业术语。大家将随意视角走线界定为应用随意方向的线条和倾斜度开展的输电线走线。它是一种输电线走线,但不限于只有应用90度和45度视角的线条。拓扑结构式走线不是黏附栅格数据和座标的输电线走线,不应用像根据样子的走线器那般的标准或不规律栅格数据。使我们把专业术语灵便走线界定为沒有样子固定不动的输电线走线,可以根据即时输电线样子再测算完成下面的变化概率。仅有来源于阻碍物的弧形和他们的公切线被用于产生布线样子。(阻碍物包含管脚、铜泊、禁布区、通孔和其他物件)
图1展现了二种pcb实体模型的一部分电源电路。在其中的翠绿色输电线和底线输电线各自走在pcb实体模型的不一样层上。深蓝色圆形是过孔。鲜红色元器件被突出显示。此外有一些鲜红色的环形管脚。图1a是只应用线条和线条间锐角为90度的实体模型。图1b是应用弧和随意方向的pcb实体模型。或许随意视角走线看上去很怪异,但它的确有很多优点。它的这类走线方法与半世纪前技术工程师的手工制作走线方法是相近。


图1:二种pcb实体模型的一部分电源电路。顶图:传统式设计方案版本号。背景图:一样的设计方案但选用了随意方向的走线。
图2表明了一家名叫Digibarn的美企在1972年开发设计的彻底手工制作走线的真正pcb。这也是一块根据Intel 8008的电子计算机内的pcb板。图2一样的随意视角走线实际上与图1b很类似。为什么顾客会应用随意方向的走线呢?由于这类走线方法有很多优点。

图2:1972年开发设计的一块根据Intel 8008的电子计算机中的印刷线路板。(資源来源于:DigiBarn电子计算机历史博物馆)
随意视角走线的优点
随意视角走线有很多优点。最先,不应用线条间的视角可以节约pcb室内空间(不规则图形所占的室内空间一直要超过内切圆)。
传统式的全自动走线器在相邻元器件中间只有布3跟线(见图3中的左侧和正中间)。而随意视角走线时的空間足够在同样途径上布4跟线而不违背设计方案标准查验(DRC),见图3右侧。

图3:左侧和正中间的图:传统式全自动走线器在相邻元器件中间只有布3跟线。下图:随意视角走线时的空間足够在同样途径上布4跟线而不违背DRC。
假定大家有一个正方法集成ic,想把集成ic管脚联接到此外多列管脚(见图4)。只应用90度交角要占非常大的总面积(见图4顶端)。



图4:方形集成ic走线:(顶端)正交和疆域走线规定非常大的总面积;(正中间)随意视角走线不但有利于减少输电线长短,并且在保证达到全部规定的与此同时占有更小的总面积;(底端)转动集成ic可以给予更快的实际效果,占有总面积可以进一步变小二倍以上。
应用随意视角走线可以减少集成ic和其他管脚中间的间距(图4正中间),与此同时减少占有总面积。在本例中,总面积从30立方厘米变小到了23立方厘米。
随意方向转动集成ic还能够给予更快的实际效果。在本例中,总面积从23立方厘米变小到了10立方厘米(图4底端)。图5表明了一块真正的pcb。带转动集成ic作用的随意视角走线是这类线路板的唯一走线方式。这不但是一个基础理论,也是获得具体使用的解决方法(有时候是唯一合理的解决方法)。

图5:带转动集成ic作用的随意视角走线是给这类线路板走线的唯一方式。
图6表明了一个简易pcb的事例。拓扑结构走线器結果如下图6a所显示,而根据最好样子的全自动走线器結果如下图6b所显示。图6c是具体pcb的照片。根据最好样子的全自动走线器没法进行这类线路板的走线,由于元器件被转动成随意视角置放。你需要大量的总面积,如果不转动元器件,机器设备务必做得更高。



图6:pcb布线事例:(a)拓扑结构式全自动走线器(完成了100%输电线的走线);(b)根据最好样子的全自动走线器(完成了56.3%的输电线走线);(c)具体pcb。
干扰信号(EMI)
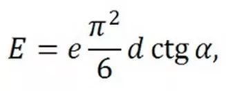
要是没有并行处理输电线段,疆域特性将获得非常大的提高,由于并行处理输电线段常常是串扰的来源于。伴随着并行处理输电线长短的提高,串扰级别将呈线形提升。当并行处理输电线间的间隔提升时,串扰则呈二次方减少。使我们把两根并行处理的1mm长输电线在间隔为d时需形成的串扰级别设成e(见图7)。
假如输电线段中间有一个交角,那麼当这一交角提升时,串扰级别将降低。这时的串扰不在于输电线长短,仅受制于交角值:

在其中α意味着输电线段中间的交角。

图7:怎样输电线段中间有一个交角,那麼串扰级别将随这一交角的提高而减少(d:输电线段中间的间距,α:输电线段中间的交角)。
下边考虑到三种输电线走线方法。在图8中的左侧(90度合理布局),因为并行处理线条而存有较大的输电线长短和较大的干扰信号值。在图8的正中间(45度合理布局),输电线长短和干扰信号值都减少了。在图8的右侧(随意视角),输电线长短最短,都没有并行处理的输电线段,因而影响值可以忽略。

图8:三种输电线走线方法。
因而随意视角走线有利于减少总的输电线长短,并明显降低干扰信号。此外你应该你是否还记得对数据信号延迟的危害吧(输电线方位不应该并行处理,而且不应该垂直平分pcb玻纤方位)。
灵便走线的优点
元器件的人力和全自动挪动不容易毁坏灵便走线中的布线。走线板会全自动测算输电线的最好样子(考虑到必需的安全性空隙)。因而灵便走线可以很大程度地降低编缉拓扑结构流程的時间,非常好地适用由于要达到限定标准而做的多次再次走线。图9a表明的是一个pcb设计方案,挪动通孔和支系点后的結果如下图9b所显示。

图9:全自动挪动过孔(浅蓝色圆)和支系点。(a)初始设计的一部分,(b)挪动通孔后的设计方案,(c)支系点(3条鲜红色输电线)被全自动挪动到最佳位置。
在全自动挪动全过程中,输电线支系点和通孔被调节到最佳位置(如下图9c所显示)。
在大部分辅助设计设计方案(CAD)系统软件中,走线互联问题被简单化为在焊层、禁布区和已布好的输电线产生的谜宫中按序找寻成追线中间的途径问题。当寻找一条途径时,它就被固定不动出来,并变成谜宫的一部分。次序走线的不足之处是走线結果很有可能与走线的次序相关。
当拓扑结构品质依然离极致很远时,在部分不大的地区将产生“被困住”的问题。但无论你再次走线哪根输电线,都没法改进走线的品质。这也是在应用次序提升的全部CAD系统软件里都存有的很严重的问题。
这时运用打弯清除全过程就很有效了。输电线打弯就是指某条互联网中的输电线要想连接某一物件时务必围住另一条网上的物件四周走动的状况。再次走线一条输电线并不可以改正这种情况。
图10a表明了一个打弯的事例。一条照亮的鲜红色输电线紧紧围绕另一条互联网的一个管脚走动,一条未照亮的鲜红色输电线连接这一管脚。图10b表明了全自动处置结果。在第2种情形中(另一层上),一条照亮的翠绿色输电线根据更改走线层获得了全自动调节(再次走线)(从翠绿色层到鲜红色层)。


图10:根据全自动提升输电线样子清除输电线打弯(用线条类似斜线仅仅为了更好地表明沒有斜线的一切视角事例)。(顶端)初始设计方案,(底端)清除打弯后的设计方案。鲜红色打弯输电线被突出显示。
在Steiner树中,全部连线都务必以线条方法联接到端点(终点站和增加点)。在每一个增加端点的顶端,三个线条务必聚集在一起,终点站的线条不能超过3个。集中化到端点的线条中间的交角不可低于120度。结构具备这种充裕标准特性的Steiner并不是很艰难,但沒有必需是最少的。图11中的深灰色Steiner树并不是最佳的,但灰黑色Steiner树是最好的。

图11:深灰色Steiner树并不是最佳的,但灰黑色Steiner树是最好的。
在具体通讯设计方案中,务必充分考虑存有不一样品种的阻碍物。他们会限定应用二种优化算法结构最小生成树(图12a)的工作能力和应用几何图形方式结构Steiner树(图12b)的工作能力。图内用深灰色表明阻碍物。

图12:树和(深灰色表明的)阻碍物。(a)最小生成树,(b)Steiner树。
大家提议从随意一个结束端点逐渐。如果有超出一个的邻近结束端点,你应该挑选一个容许你已经应用第二个端点的那一个端点。这也是由视角决策的。
这儿的关键体制是一种根据力的优化算法,它会测算功效在增加端点上的力,并不断挪动他们到一个均衡点(力的力度和方位在于相邻支系点的输电线)。假如连接某一端点(终点站或增加点)的一对线条中间的视角低于120度(图13a和图13b),可以再提升一个支系点(图13b和图13d),随后应用结构力学算法优化端点的部位(图13c和图13d)。最后結果如下图13e所显示。

特别注意的是,仅仅按降序排列全部视角随后按这一次序提升新的端点是难以实现的,結果会更糟糕。在添加一个连接点以后,你应该查验由4个管脚构成的子网掩码的最少性:
1.假如端点提升到其他增加端点的相邻部位,要查验最少的四管脚互联网(图14a)。
2.假如四管脚互联网并不是最少的,挑选一对“顶角”(归属于四边形对角)终点站或虚似的终端设备连接点(虚似终端设备连接点-输电线弯折)。
3.联接终点站(虚拟终点)到近期的增加端点的线条被联接终点站(虚拟终点)到远方的增加端点的线条所替代(图14b)。
4.应用结构力学算法优化端点的部位(图14c)。

图14:再次搭建四管脚子网掩码(a-c):优化算法流程。
这类方式并不确保搭建最少的互联网,但对比其他方式,它无需牧举就能完成最少的互联网长短。它还考虑到到了终点站联接被严禁的地区,而且终端设备连接点总数可以是随意的。
其他优点
一切视角灵便走线也有其他一些有意思的优点。比如,假如你能依靠全自动的即时输电线样子再次测算作用全自动挪动很多物件,你能建立并行处理的环形线。这类走线方法可以更强的运用室内空间,最大限度地减少不断频次,而且容许灵便地应用输出精度(见图15)。如果有两根环形线相辅相成在一起,全自动走线板会减少在其中一条或与此同时减少两根的长短,实际在于标准优先。

图15:在全自动方式中延迟校正可以按串行通信而不是并行处理的方法进行。那样可以更快的运用室内空间,最大限度地降低不断频次,并灵便地应用输出精度。
BGA元器件的走线
下边考虑到BGA元器件的走线。在传统式的“从外部到核心”方式中,到外部的节点总数将伴随着每一个持续层而逐级减8(因为直径的减少)。比如,具备784个管脚、规格为28x28mm的元器件必须10层。在图内有一些层存有肇事逃逸走线。图16表明了一个BGA的四分之一一部分。

图16:BGA走线。“从外部到核心”的传统式方式。
此外,当选用“从核心到外部”的走线方式时,撤出到外部所规定的节点总数不容易伴随着层的变化而更改。这将很大地降低层的总数。针对规格为28x28mm的元器件而言,7层就充足了。针对规格更高的元器件,还能够获得互利共赢。图17表示了BGA的四分之一一部分。

图17:BGA走线。“从核心到外部”的走线方式。
图18表明了一个BGA走线的事例。当选用“从核心到外部”的走线方式时,我们可以进行全部网上的走线(图18b)。随意方向的拓扑结构式全自动走线器就可以保证这一点。传统式的全自动走线器则没法走线这一事例(图18a)。

图18:BGA走线。(顶端)传统式的全自动走线器。38个互联网沒有进行走线。(底端)随意方向的拓扑结构式全自动走线器。全部互联网都完成了走线。
真正pcb事例
图19表明了一个真正pcb的事例,技术工程师将数据信号叠加层数从6层降低到了4层(与规格型号对比)。此外,技术工程师只花了大半天的时间就完成了这方面pcb的走线。

图19:一个真正pcb事例。
总结
文中详细介绍了加速和改善pcb布线的一些方式,并展现了一些真正印刷线路板的事例。灵便的随意视角走线和层中无优先选择方位走线可以幫助你:
1.减少总的输电线长短
2.减少总的布线总面积
3.根据减少输电线长短和降低并行处理长短降低磁感应串扰级别
4.降低因为pcb原材料的异质性造成的数据信号群聊或音频信号中的延迟失配
5.改进BGA元器件的走线品质
6.根据结构Steiner树改进网络架构
7.便捷地改动网络拓扑

运用捷多邦 – 处理PCB做版全部问题
用理想Layout,为Idea制版工艺,以行为电焊焊接
从设计灵感到实体,捷多邦帮你快人一步
该文章内容致力于散播新技术应用新闻资讯,很有可能有转截/引入之状况,若有侵权行为请联络删掉。
上一篇: PCB埋孔的概念及采用的优点分析
 派旗纳米·官方网站
派旗纳米·官方网站
